Design and Operational Strategies for Enhancing Thermal Output in Coaxial Closed-Loop Geothermal Systems
针对同轴闭式地热系统(CBHE)因井筒-围岩导热速率低而导致取热量受限的问题,本文提出并系统比较三种强化策略:①间歇运行调度、②以 ORC 工质(n-戊烷、R245fa)替代水、③在井周实施“环状”或“鱼骨状”高导热强化。基于 CMG-STARS 建立井-储耦合热模拟框架,开展 1–20 年性能预测,提出“特征热恢复曲线”以量化不同运行-恢复比下的热衰减规律。研究为低影响、高焓闭式地热系统的设计与运行提供了可直接应用的指导。
CMG 软件应用情况
- 软件:CMG STARS 2024.20(热-流一体化模拟器)
- 主要功能与配置
– 采用 Cartesian 局部加密网格,底部 400 m 环/鱼骨区网格细化至毫米-厘米级;
– FlexWell 工具一体化描述井筒内管、环空、隔热层、水泥、套管及地层间的瞬态传热与压降;
– 自定义 FORTRAN 属性表,嵌入 n-pentane、R245fa 的 JT 系数、密度、黏度,准确捕捉有机工质冷却效应;
– 通过等效热阻与 EMT 体积加权两种升尺度方法,将 500 W m⁻¹ K⁻¹ 石墨环/鱼骨导热增强一体化到油藏网格,避免过度剖分;
– 利用内置调度器实现“运行-恢复”间歇循环,自动输出 θ 恢复比、出口温度、热功率等 KPI。 - 验证结果:模型重现 HGP-A 七日实测温度曲线,MAE=1.42 ℃,为后续策略对比提供高置信度基准。
主要结论
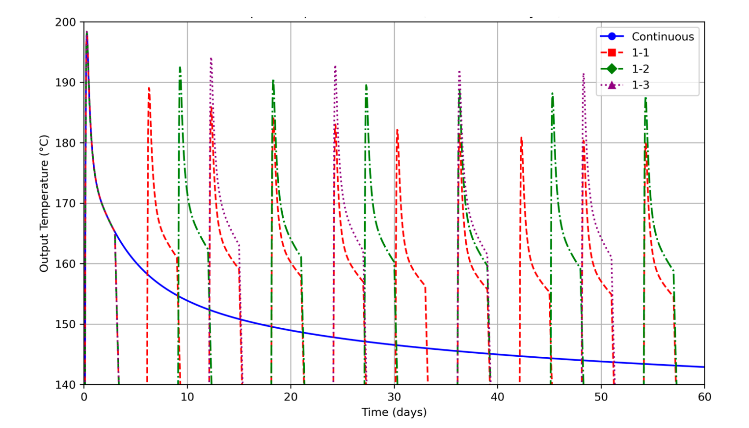
- 间歇运行:追求 95 % 热恢复不经济,≈80 % 为工程“甜点”;导热系数↑或热容↓可缩短恢复时间,流量影响较小。
- 工质替代:n-pentane 与 R245fa 在亚临界 ORC 温度段热输出比水高 20–40 %;低流量下出现自循环(热虹吸),可取消泵功;但需权衡易燃及高 GWP 风险。
- 导热强化:环状注入体积与有效导热系数线性正相关,10 m 环 20 年温度增幅≈8 %;鱼骨状因体积稀释效应,长期增益仅≈1 %。
- 综合建议:最优 CBHE 设计应“间歇运行 + ORC 有机工质 + 环状石墨强化”三位一体,并据储层导热-热容特征动态调整运行日历。
作者单位
- 美国德克萨斯大学奥斯汀分校 Hildebrand 石油与地球系统工程系





Abstract
Coaxial closed-loop geothermal systems, increasingly recognized as scalable and low-impact geothermal solutions, remain limited by conductive heat transfer between the reservoir and wellbore. This study investigates three strategies to enhance thermal output: (i) dynamic operation scheduling, (ii) substitution of conventional fluids with Organic Rankine Cycle (ORC) working fluids, and (iii) targeted conductive enhancements near the well. Using a CMG STARS simulation framework, system performance was evaluated over 1- to 20-year horizons, introducing a characteristic thermal recovery curve as a tool for analyzing long-term behavior. Results show that extended recovery durations raise outlet temperatures but with diminishing returns, identifying approximately 80% recovery as a practical optimization point. Fluids such as n-pentane and R245fa deliver substantially greater ORC-compatible heat than water, with thermo-siphoning observed under low-flow conditions. Conductive enhancement geometries, namely ring and fishbone configurations, exhibit distinct performance profiles, with rings outperforming fishbones due to larger injected volumes and greater advantage due to reservoir reach. One-year gains range from 4.5–9.4% for rings and 0.65–1.37% for fishbones, stabilizing at 3.7–7.8% and 0.55–1.18% after 20 years. These findings provide design and operational guidance for advancing coaxial closed-loop systems in low-carbon energy deployment.
