Reactivation of Abandoned Oilfields for Cleaner Energy Generation: Three-Dimensional Modelling of Reservoir Heterogeneity and Geometry
随着全球能源供应形势的变化以及向能源转型的推进,寻找替代能源来源变得尤为重要。全球有成千上万的废弃油田,仍然留有大量的储量。这些油田有潜力被再激活,成为比传统石油和天然气更清洁的能源供应。这可以通过原位燃烧(ISC)技术实现,利用残余油的氧化产生的温度和压力增加来生产地热能,同时对产生的混合流体进行封存。
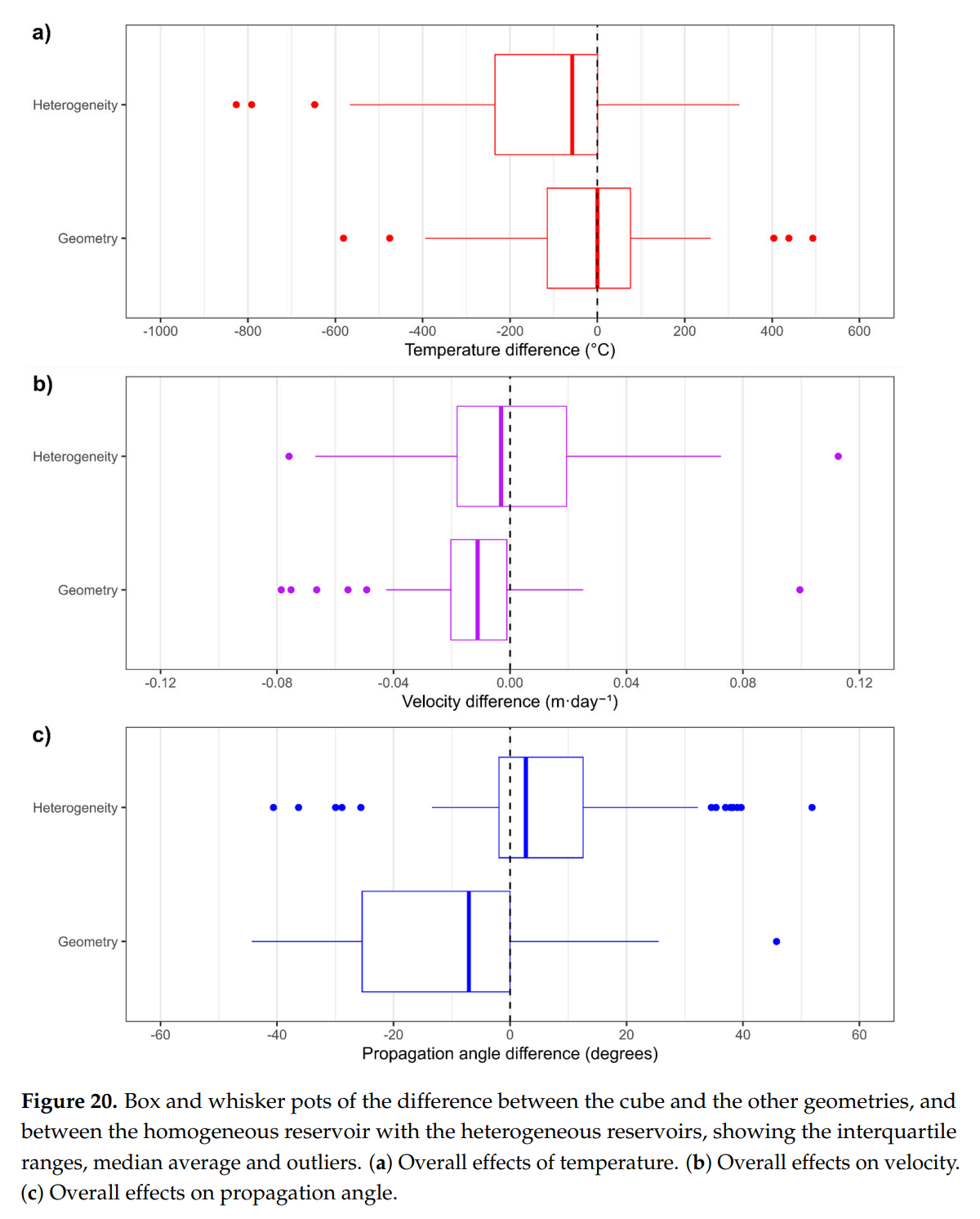
原位燃烧(火驱)传统上被用作提高石油采收率的技术,但由于储层选择和项目设计不当,失败率较高。我们认为,许多早期ISC项目的失败是由于对地下地质如何影响过程的理解不足。通过计算机数值模拟,我们旨在确定储层的几何形状和非均质性如何影响该过程的成功。在本文中,我们使用简单的三维扇区模型评估不同岩石物理非均质性和储层几何形状对温度、速度、传播稳定性和焓率的影响 。
CMG软件应用情况:
在本研究中,使用了CMG的STARS软件进行三维数值模拟,以评估储层的几何形状和异质性对原位燃烧过程的影响。CMG STARS是一个多相、多组分、热采和蒸汽添加剂模拟器,能够有效模拟复杂的储层特征。研究中构建了29 × 29 × 10的三维网格模型,并进行了多种储层条件下的模拟。






Abstract
With the changing picture of global energy supplies and the shift toward the energy transition, it has never been more important to look for alternative sources of energy. Globally there are tens of thousands of abandoned oil fields with considerable reserves left behind. These have the potential to be reactivated to become an energy supply that is cleaner than conventional oil and gas. This can be achieved by the use of in situ combustion and the subsequent exploitation of the inherent increase in temperature and pressure to produce geothermal energy, allied to sequestration of the mixture of produced fluids. In situ combustion (ISC) has conventionally been used as an enhanced oil recovery technique, with a high failure rate that has been recently attributed to poor reservoir selection and project design. We suggest that the failure of many earlier ISC projects is due to insufficient appreciation of how the subsurface geology affects the process. With the use of computer numerical modelling, we aim to ascertain how the geometry and heterogeneity of the reservoir control the success of the process. Here we employ simple three-dimensional sector models to assess a variety of different petrophysical heterogeneities, within a set of different reservoir geometries, on the temperature, velocity, propagation stability and enthalpy rate. These models illustrate that the biggest impact on success of the ISC process for geothermal energy generation, as a function of temperature and enthalpy, is the location of the wells relative to the heterogeneities and the scale of heterogeneities. Metre-scale heterogeneities do not have a significant effect on this. Instead, the biggest contributor to the propagation stability and direction of the fire front is the presence of a large-scale (10 s to 100 s of metres) heterogeneities, such as channels, or the geometry of a tilted fault block; both have a strong control over the direction of the propagation, and therefore are important factors with regards to well placement.
Keywords:
modelling; porosity; permeability; heterogeneity; structure; geothermal; in situ combustion; EOR
作者单位:
英国利物浦大学地球、海洋与生态科学系
