Numerical Simulation Study on the Mechanism of Pore Volume Expansion and Permeability Enhancement by High-Pressure Water Injection in Low Permeability Reservoirs
高压注水(HPWI)是近年在国内低渗透油藏推广增产增注的关键技术,但其“微裂缝-孔隙扩容-渗透率提升”耦合机理尚缺乏统一认识。本文基于“压实-膨胀”岩石连续损伤理论,建立可描述微裂缝启闭、应力敏感与非达西渗流的三维数值模型,系统模拟了高压注水下孔隙体积扩张、渗透率增加及分区演化规律,并对比“先注后采”与“同注同采”两种现场实施方式。研究结果为现场优化注入参数、延长有效期提供了定量依据。
CMG 软件应用情况
- 平台与版本:CMG,黑油模型模块。
- 关键改进:
– 嵌入“压实-膨胀”动态孔隙度/渗透率模型,用指数损伤公式 K2=(1-D)KM+DKD(1+DεVp)^3 描述微裂缝增渗;
– 引入启动压力梯度(λ)非达西选项,模拟低渗储层“注不进、采不出”现象;
– 设置井底流压上限 70 MPa(低于宏观主裂缝压力),确保仅产生微裂缝网络;
– 通过网格加密(20×20×10)与局部嵌套,实现 1 m 级 EPZ 精细刻画。 - 模拟规模:
– 概念模型 1000 m×1000 m×10 m,五点法/反九点法两套井网;
– 单井组历史拟合(X5、X41 井组)误差 < 5 %;
– 参数敏感性批跑 60 余套(压力 62-80 MPa、排量 200-2000 m³/d、累积注入量 2-10×10⁴ m³)。 - 主要输出:EPZ 空间形态、分区采收率、含水上升规律、经济最优注入制度。
主要结论
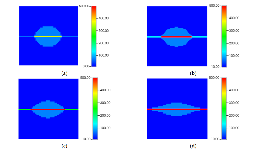
- 高压注水在宏观主裂缝形成前存在明显“微裂缝阶段”,井周渗透率可提高 3-8 倍,注入水呈径向均匀推进,优于常规水驱“由里向外”缓慢扩展。
- 增渗区扩展受“门槛压力 + 累积注入量”双因素控制:63 MPa 以下几乎无增渗,越过门槛后 EPZ 面积与注入体积呈线性增长;继续提高排量仅加速过程,不能无限扩大范围。
- 储层非均质性是 HPWI 效果的主控因素:高渗条带渗透率为基质 5-20 倍时,EPZ 长宽比由 1.2 增至 3.4,易引发指进及快速水窜。
- 现场两种实施方式对比:“先注后采”模式受效均匀,但 EPZ 井含水 100 % 后整体水淹;“同注同采”模式非主流线方向井增油明显,主流线井易暴性水淹,需动态调控生产压差。
- 对远井低液量井,在 HPWI 后辅以压裂可再提高单井累积增油 20-30 %,是解决“最后一米”驱替死角的有效手段。
作者单位
中国石油集团川庆钻探工程有限公司工程技术研究院







Absract
High-pressure water injection (HPWI) refers to injecting water into the formation under conditions where the injection pressure is higher than or close to the formation fracture pressure. This technique can effectively improve the water absorption capacity of low permeability reservoirs and maintain the formation pressure above the bubble point. It is a key technology for solving the problem of “difficult injection and difficult recovery” in low-permeability reservoirs, thereby achieving increased injection and enhanced produc tion. However, due to the lack of a unified understanding of the mechanisms of dynamic micro-fractures and the mechanism of pore volume expansion and permeability enhance ment during HPWI, the technology has not been widely promoted and applied. Based on an in-depth analysis of the mechanism of high-pressure water injection and by building a geological model for an actual oilfield development block, the “compaction–expansion” theory of rocks is used to characterize the variation in reservoir properties with pore pres sure. This model is used to simulate the reservoir’s pore volume expansion and permea bility enhancement effects during high-pressure water injection. The research results show the following: (1) HPWI can increase the effective distance of injected water by changing the permeability of the affected area. (2) During HPWI, the effective areas in the reservoir are divided into three regions: the enhanced-permeability zone (EPZ), the swept zone without permeability enhancement, and the unswept zone. Moreover, the EPZ ex pands significantly with higher injection pressure, rate, and volume. However, the degree of reservoir heterogeneity will significantly affect the effect of HPWI. (3) Simulation of two production modes—“HPWI–well soaking–oil production” and “simultaneous HPWI and oil production”—shows that under the first production mode, the degree of uni formity of the production wells’ response is higher. However, in the production wells in the EPZ, after a certain stage, an overall water flooding phenomenon occurs. In the second mode, the production wells in the water channeling direction show an alternating and rapid water-flooding phenomenon, while the production wells in the non-water channel ing areas are hardly affected. Meanwhile, for local production wells with poor effectiveness of high-pressure water injection, hydraulic fracturing can be used as a pilot or remedial measure to achieve pressure-induced effectiveness and improve the sweep efficiency of the injected water. The results of this study explain the mechanisms of vol ume expansion and permeability enhancement during high-pressure water injection, providing guiding significance for the on-site application and promotion of high-pressure water injection technology in low-permeability reservoirs.
